钟祥旺财28机电制造股份有限公司——中国大型振动电机生产基地!联系人:吴经理 电话:13972894787
设为首页
|
加入收藏
检索标题
智能模糊
搜索
网站首页
关于我们
公司介绍
董事长致辞
公司文化
公司发展
组织机构
企业人物
企业优势
闻邦椿院士简介
新闻中心
公司新闻
振动电机
振动机械
给料设备
振动筛分机械
闸门、阀门系列
电气控制箱
振动平台
质量体系
专利证书
质量证书
质量保障
服务支持
联系我们
您所在的位置:
主页
>
振动机械
>
振动筛分机械
>
YA系列圆振筛
时间:
2019-04-27
来源:
旺财28机电
作者:
旺财28机电
点击:
140 次
钟祥旺财28机电制造股份有限公司,钟祥电机,销售经理吴云, 手机:13972894787。
钟祥旺财28机电制造股份有限公司前身是钟祥电机厂,1968年筹建工厂,原机电部确认为定点生产中小型电机的专业厂家。主要生产各类振动电机、振动机械、输送机械。是中国电器工业协会中小型电机分会理事单位、中国重型机械工业协会洗选设备专业委员会理事单位,是中国大型的振动电机生产厂家。
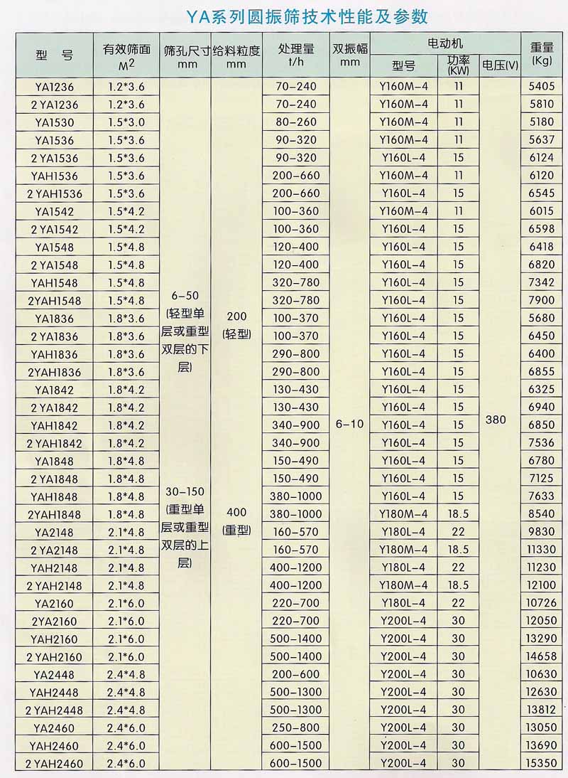
YA系列圆振筛是一种运动轨迹为圆的筛分设备,该机采用国外先进技术设计而成,具有技术参数先进,振动强度大,处理能力大,筛分效率高等特点,适合于选矿、选煤、建材、电力及化工等部门作物料分级使用。
该系列振动筛具有结构先进、坚固耐用、噪音低、维修方便等特点。该系列圆振筛有多种规格型号可供选择,同时可根据用户要求设计单层或多层结构,筛网结构也多样化,有冲孔筛板、铸钢筛板、聚氨酯筛板、编织筛网等,应用广泛,适应性强。
上一篇:
HFK型可翻转弧形筛
下一篇:
YSC系列圆振筛
热点动态
TYS系列矿用平动椭圆筛
VOSB型振动可翻转弧形筛
VSB型振动弧形筛
HFK型可翻转弧形筛
YA系列圆振筛
关于旺财28机电
ABOUT US
公司介绍
董事长致辞
公司文化
公司发展
组织机构
企业人物
企业优势
闻邦椿院士简介
新闻中心
NEWS
公司新闻
产品中心
PRODUCTS
给料设备
振动筛分机械
闸门、阀门系列
电气控制箱
振动平台
质量体系
PRODUCTS
专利证书
质量证书
质量保障
联系我们
CONTACT US
专利证书
质量证书
质量保障
全国服务热线
139-7289-4787
版权: 钟祥旺财28机电制造股份有限公司 地址: 湖北省钟祥市经济开发区西环二路8号 技术支持:
钟祥瑞安快网
ICP备案:
鄂ICP备09012154号